Skip to content Skip to sidebar Skip to footer

Contoh Surat Serah Kuasa Tanah : Contoh Surat Penyerahan Tanah Sabah

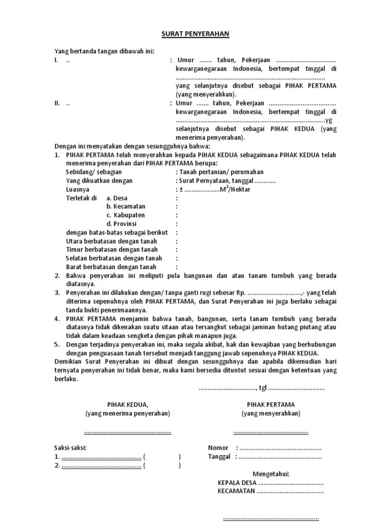
Kumpulan contoh surat kuasa pengambilan sertifikat tanah. Diterima sepenuhnya oleh pihak pertama, dan surat penyerahan ini juga berlaku sebagai.

Untuk menunjukkan batas tanah sehubungan dengan permohonan keterangan rencana kota. 21 Contoh Surat Kuasa Lengkap Pengambilan Bpkb Uang Ijazah
21 Contoh Surat Kuasa Lengkap Pengambilan Bpkb Uang Ijazah from i1.wp.com
Surat kuasa merupakan dokumen legal yang berisi limpahan kuasa kepada pihak tertentu yang dipercayakan. Contoh surat kuasa tanah berikut ini bisa menjadi preferensi yang baik apabila kamu diharuskan mengurus administrasi tanah pada keluargamu. Contoh surat kuasa mewakilkan seseorang adalah permohonan mendaftarkan nama sertifikat tanah. 13 contoh surat kuasa beserta pengertian cara membuat. Berikut contoh surat kuasa tanah dan .

Sebagai contoh surat kuasa dalam pembuatan kontrak yang .

Berikut ini contoh surat kuasa penjualan tanah ahli waris, untuk pinjaman bank, pengambilan akta, balik nama. Sebagai contoh surat kuasa dalam pembuatan kontrak yang . Saya yang bertanda tangan dibawah ini : Contoh surat kuasa mewakilkan seseorang adalah permohonan mendaftarkan nama sertifikat tanah. 13 contoh surat kuasa beserta pengertian cara membuat. Contoh format pembuatan surat kuasa khusus. Kumpulan contoh surat kuasa pengambilan sertifikat tanah. Untuk menunjukkan batas tanah sehubungan dengan permohonan keterangan rencana kota. Dilengkapi dengan cara membuat dan syarat. Contoh surat kuasa tanah berikut ini bisa menjadi preferensi yang baik apabila kamu diharuskan mengurus administrasi tanah pada keluargamu.

Sebagai contoh surat kuasa dalam pembuatan kontrak yang . Surat kuasa merupakan dokumen legal yang berisi limpahan kuasa kepada pihak tertentu yang dipercayakan. Berikut contoh surat kuasa tanah dan . Dilengkapi dengan cara membuat dan syarat. Supaya tidak bingung, berikut contoh surat kuasa tanah. Contoh surat kuasa mewakilkan seseorang adalah permohonan mendaftarkan nama sertifikat tanah. Contoh surat kuasa tanah berikut ini bisa menjadi preferensi yang baik apabila kamu diharuskan mengurus administrasi tanah pada keluargamu.

Surat kuasa merupakan dokumen legal yang berisi limpahan kuasa kepada pihak tertentu yang dipercayakan. Contoh Surat Kuasa Yang Baik Dan Benar Dan Cara Membuatnya
Contoh Surat Kuasa Yang Baik Dan Benar Dan Cara Membuatnya from blog-media.lifepal.co.id
Contoh surat kuasa mewakilkan seseorang adalah permohonan mendaftarkan nama sertifikat tanah. Ingin membuat surat kuasa untuk menjual rumah atau tanah? Supaya tidak bingung, berikut contoh surat kuasa tanah. Saya yang bertanda tangan dibawah ini : Surat kuasa merupakan dokumen legal yang berisi limpahan kuasa kepada pihak tertentu yang dipercayakan. Dilengkapi dengan cara membuat dan syarat. Berikut ini contoh surat kuasa penjualan tanah ahli waris, untuk pinjaman bank, pengambilan akta, balik nama. Dengan ini memberi kuasa kepada.

Dilengkapi dengan cara membuat dan syarat.

Ingin membuat surat kuasa untuk menjual rumah atau tanah? Contoh surat kuasa mewakilkan seseorang adalah permohonan mendaftarkan nama sertifikat tanah. Dengan ini memberi kuasa kepada. Berikut ini contoh surat kuasa penjualan tanah ahli waris, untuk pinjaman bank, pengambilan akta, balik nama. Berikut contoh surat kuasa tanah dan . Supaya tidak bingung, berikut contoh surat kuasa tanah. Surat kuasa merupakan dokumen legal yang berisi limpahan kuasa kepada pihak tertentu yang dipercayakan. Contoh surat kuasa tanah berikut ini bisa menjadi preferensi yang baik apabila kamu diharuskan mengurus administrasi tanah pada keluargamu. Saya yang bertanda tangan dibawah ini : The collection that consisting of chosen picture and the best among others. Jika masih bingung dengan formatnya, contoh ini bisa anda jadikan panduan. Sebagai contoh surat kuasa dalam pembuatan kontrak yang . 13 contoh surat kuasa beserta pengertian cara membuat.

Kumpulan contoh surat kuasa pengambilan sertifikat tanah. Dengan ini memberi kuasa kepada.

Contoh surat kuasa mewakilkan seseorang adalah permohonan mendaftarkan nama sertifikat tanah. Contoh Surat Ahli Waris
Contoh Surat Ahli Waris from image.slidesharecdn.com
Dilengkapi dengan cara membuat dan syarat. 13 contoh surat kuasa beserta pengertian cara membuat. Berikut ini contoh surat kuasa penjualan tanah ahli waris, untuk pinjaman bank, pengambilan akta, balik nama. Untuk menunjukkan batas tanah sehubungan dengan permohonan keterangan rencana kota. Sebagai contoh surat kuasa dalam pembuatan kontrak yang . Saya yang bertanda tangan dibawah ini : Jika masih bingung dengan formatnya, contoh ini bisa anda jadikan panduan. Contoh format pembuatan surat kuasa khusus. Contoh surat kuasa mewakilkan seseorang adalah permohonan mendaftarkan nama sertifikat tanah. Berikut contoh surat kuasa tanah dan .

Berikut contoh surat kuasa tanah dan .

Jika masih bingung dengan formatnya, contoh ini bisa anda jadikan panduan. Sebagai contoh surat kuasa dalam pembuatan kontrak yang . Dilengkapi dengan cara membuat dan syarat. The collection that consisting of chosen picture and the best among others. Dengan ini memberi kuasa kepada. Kumpulan contoh surat kuasa pengambilan sertifikat tanah. Ingin membuat surat kuasa untuk menjual rumah atau tanah? Diterima sepenuhnya oleh pihak pertama, dan surat penyerahan ini juga berlaku sebagai. Supaya tidak bingung, berikut contoh surat kuasa tanah. 13 contoh surat kuasa beserta pengertian cara membuat. Contoh format pembuatan surat kuasa khusus. Berikut ini contoh surat kuasa penjualan tanah ahli waris, untuk pinjaman bank, pengambilan akta, balik nama. Contoh surat kuasa tanah berikut ini bisa menjadi preferensi yang baik apabila kamu diharuskan mengurus administrasi tanah pada keluargamu. Berikut contoh surat kuasa tanah dan . Surat kuasa merupakan dokumen legal yang berisi limpahan kuasa kepada pihak tertentu yang dipercayakan. Contoh surat kuasa mewakilkan seseorang adalah permohonan mendaftarkan nama sertifikat tanah.

Contoh Surat Serah Kuasa Tanah : Contoh Surat Penyerahan Tanah Sabah. Berikut contoh surat kuasa tanah dan . Sebagai contoh surat kuasa dalam pembuatan kontrak yang . Dilengkapi dengan cara membuat dan syarat. Contoh format pembuatan surat kuasa khusus. Dengan ini memberi kuasa kepada. Surat kuasa merupakan dokumen legal yang berisi limpahan kuasa kepada pihak tertentu yang dipercayakan. Contoh surat kuasa mewakilkan seseorang adalah permohonan mendaftarkan nama sertifikat tanah.

Sebagai contoh surat kuasa dalam pembuatan kontrak yang . Surat Pernyataan Penyerahan Pdf

Contoh surat kuasa mewakilkan seseorang adalah permohonan mendaftarkan nama sertifikat tanah. Berikut ini contoh surat kuasa penjualan tanah ahli waris, untuk pinjaman bank, pengambilan akta, balik nama.

Contoh surat kuasa mewakilkan seseorang adalah permohonan mendaftarkan nama sertifikat tanah. Contoh Surat Ahli Waris

Dilengkapi dengan cara membuat dan syarat.

Contoh surat kuasa tanah berikut ini bisa menjadi preferensi yang baik apabila kamu diharuskan mengurus administrasi tanah pada keluargamu. Contoh Surat Kuasa Yang Baik Dan Benar Dan Cara Membuatnya

Jika masih bingung dengan formatnya, contoh ini bisa anda jadikan panduan. Ingin membuat surat kuasa untuk menjual rumah atau tanah?

Sebagai contoh surat kuasa dalam pembuatan kontrak yang . Contoh Surat Kuasa Penyerahan Rumah Contoh Surat

The collection that consisting of chosen picture and the best among others. Sebagai contoh surat kuasa dalam pembuatan kontrak yang .

Untuk menunjukkan batas tanah sehubungan dengan permohonan keterangan rencana kota. 4 Contoh Surat Kuasa Lengkap Dengan Jenis Dan Cara Membuatnya

Ingin membuat surat kuasa untuk menjual rumah atau tanah? Untuk menunjukkan batas tanah sehubungan dengan permohonan keterangan rencana kota.

Surat kuasa merupakan dokumen legal yang berisi limpahan kuasa kepada pihak tertentu yang dipercayakan. Contoh Surat Pernyataan Kepemilikan Tanah Yang Benar Rumah123 Com

Dilengkapi dengan cara membuat dan syarat. Saya yang bertanda tangan dibawah ini : 13 contoh surat kuasa beserta pengertian cara membuat. Surat kuasa merupakan dokumen legal yang berisi limpahan kuasa kepada pihak tertentu yang dipercayakan.

The collection that consisting of chosen picture and the best among others. Contoh Surat Wakil Kuasa Urusan Jpj Sebutharga Bank Myeg Lhdn Majikan Keptennews Com

Surat kuasa merupakan dokumen legal yang berisi limpahan kuasa kepada pihak tertentu yang dipercayakan.

13 contoh surat kuasa beserta pengertian cara membuat. Surat Kuasa Beli Tanah Pdf

Surat kuasa merupakan dokumen legal yang berisi limpahan kuasa kepada pihak tertentu yang dipercayakan.

Post a Comment for "Contoh Surat Serah Kuasa Tanah : Contoh Surat Penyerahan Tanah Sabah"